это быстро и бесплатно
Оформите заказ сейчас и получите скидку 100 руб.!
ID (номер) заказа
1792427
Ознакомительный фрагмент работы:
Практические работы.
Построение изображений в MS Excel
Зонтик
Для построения изображения «Зонтик» необходимы следующие функции

1. Запустить MS Excel
2. В ячейке А1 внести значение переменной x.
3. В ячейку А2 ввести самое минимальное значение x – -12
4. В ячейку А3 ввести формулу для нахождения следующего значения x с шагом 1:
=А2+1
5. Рассчитать все значения x до x=12 (ячейка А26).
6. Последовательно для каждой функции необходимо рассчитать значения y.

В ячейку В1 внести значение переменной y1
В ячейку В2 ввести формулу для нахождения значения функции в точке x=-12: =(-
1/18)*A2^2+12. Нажать Enter – расчёт значения происходит автоматически.
Растягиваем формулу до ячейки В26.
Заполняем ячейки С2, D2, E2, F2, G2 соответственно y2, y3, y4, y5, y6

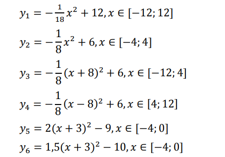
Находим остальные значения функций (y2, y3, y4, y5, y6). Внимательно смотрите
промежуток значений x! В функции 𝑦2 = −
1
8
𝑥
2 + 6, 𝑥 ∈ [−4; 4] x начинается с -4,
следовательно, значения функций необходимо рассчитывать с этого значения x (в данной
ситуации с ячейки С10)
В результате должна получиться следующая таблица:

7. Полученную таблицу отформатировать:
Шрифт – Times New Roman
Размер шрифта – 14 пт
Выравнивание – по центру
Шапка таблицы – полужирный.
Оформить границы таблицы.
8. Строим изображение «Зонтик»
Выделить диапазон ячеек A1:G26
Вкладка Вставка/Диаграммы/Точечная/Выбираем вид/ОК
Получается следующий рисунок

9. Добавляем Название диаграммы – над диаграммой – Зонтик
10. Убираем Легенду
11. Переименовываем Лист 1 в «Зонтик»
12. Сохраняем рабочую книгу под названием «Построение изображений ФИО»
Сделайте индивидуальный заказ на нашем сервисе. Там эксперты помогают с учебой без посредников
Разместите задание – сайт бесплатно отправит его исполнителя, и они предложат цены.
Цены ниже, чем в агентствах и у конкурентов
Вы работаете с экспертами напрямую. Поэтому стоимость работ приятно вас удивит
Бесплатные доработки и консультации
Исполнитель внесет нужные правки в работу по вашему требованию без доплат. Корректировки в максимально короткие сроки
Гарантируем возврат
Если работа вас не устроит – мы вернем 100% суммы заказа
Техподдержка 7 дней в неделю
Наши менеджеры всегда на связи и оперативно решат любую проблему
Строгий отбор экспертов
К работе допускаются только проверенные специалисты с высшим образованием. Проверяем диплом на оценки «хорошо» и «отлично»
Работы выполняют эксперты в своём деле. Они ценят свою репутацию, поэтому результат выполненной работы гарантирован
Ежедневно эксперты готовы работать над 1000 заданиями. Контролируйте процесс написания работы в режиме онлайн
Нужно разработать стенд для балансировки валов
Диплом, Технологические машины и оборудование
Срок сдачи к 31 мая
Нужно разработать стенд для балансировки валов
Диплом, Технологические машины и оборудование
Срок сдачи к 31 мая
Маркейтинговое исследование российского рынка косметологических услуг
Курсовая, Маркейтинг
Срок сдачи к 27 февр.
Написать курсовую работу по теме Оптимизация размещения товаров на складе (на примере…)
Курсовая, Складская логистика
Срок сдачи к 11 мая
Сделать презентацию, защитное слово (по слайдам)
Презентация, Международное право
Срок сдачи к 20 февр.
сделать на компасе 3д
Другое, Основы конструирования приборов, электроника, электротехника
Срок сдачи к 26 февр.
Написать реферат по методческим рекомендациям
Реферат, Прикладные компьютерные программы в профессиональной деятельности
Срок сдачи к 22 февр.
Термоэлектрические трансформаторы тепла
Доклад, Основы трансформации тепла и процессов охлаждения
Срок сдачи к 24 февр.
Выполнить задания. Математические методы в экономике. Е-02048
Контрольная, Математика
Срок сдачи к 22 февр.
Выполнить задания. Математические методы в экономике. Е-02048
Контрольная, Экономика
Срок сдачи к 22 февр.
Расчётно- графическая работа Кручение. Поперечный изгиб
Лабораторная, Механика
Срок сдачи к 23 февр.
Монтаж и эксплуатация системы управления электрическим приводом с применением частотного регулирования
Отчет по практике, Физика, биология и инженерные технологии
Срок сдачи к 25 февр.
Заполните форму и узнайте цену на индивидуальную работу!