это быстро и бесплатно
Оформите заказ сейчас и получите скидку 100 руб.!
ID (номер) заказа
21834
Ознакомительный фрагмент работы:
Готовая контрольная работа по математике на тему: «Интегралы».
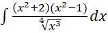
1. 
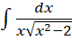
2. 
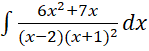
3. 
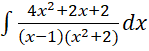
4. 
5. 
6. 
7. 
8. 
9. 
10. 
11. 
Сделайте индивидуальный заказ на нашем сервисе. Там эксперты помогают с учебой без посредников
Разместите задание – сайт бесплатно отправит его исполнителя, и они предложат цены.
Цены ниже, чем в агентствах и у конкурентов
Вы работаете с экспертами напрямую. Поэтому стоимость работ приятно вас удивит
Бесплатные доработки и консультации
Исполнитель внесет нужные правки в работу по вашему требованию без доплат. Корректировки в максимально короткие сроки
Гарантируем возврат
Если работа вас не устроит – мы вернем 100% суммы заказа
Техподдержка 7 дней в неделю
Наши менеджеры всегда на связи и оперативно решат любую проблему
Строгий отбор экспертов
К работе допускаются только проверенные специалисты с высшим образованием. Проверяем диплом на оценки «хорошо» и «отлично»
Работы выполняют эксперты в своём деле. Они ценят свою репутацию, поэтому результат выполненной работы гарантирован
Ежедневно эксперты готовы работать над 1000 заданиями. Контролируйте процесс написания работы в режиме онлайн
Задание в прикрепленном файте. Вариант 2.
Решение задач, Международное частное право
Срок сдачи к 22 дек.
Решить 6 задач и сделать схемы
Контрольная, Метрология, стандартизация и сертификация
Срок сдачи к 25 дек.
Разработка информационной системы для центра занятости. 25-30 страниц
Курсовая, Информатика
Срок сдачи к 22 дек.
Оценивание сложных систем в условиях риска и неопределенности
Лабораторная, Теория информационных процессов и систем
Срок сдачи к 16 дек.
Экзамен Билет № 12 (ответить на 4 вопроса и решить одну задачу)
Другое, Пожарная тактика, пожарная безопасность
Срок сдачи к 2 февр.
сделать курсовой по тмм.
Курсовая, Теория механизмов и машин (ТММ), детали машин, машиностроение
Срок сдачи к 26 дек.
Заполните форму и узнайте цену на индивидуальную работу!