это быстро и бесплатно
Оформите заказ сейчас и получите скидку 100 руб.!
ID (номер) заказа
3230756
Ознакомительный фрагмент работы:
Отделение корней уравнения f(x) = sin(5x)+x2 -1
Построить график функции в программе Excel на отрезке [-1,2] с шагом изменения аргумента h=0,1.
Алгоритм решения
В диапазоне А3:А32 введём значения переменной х [-1, -0,9 ....] - заполнитть с помощью маркера заполнителя.
А ячейке В2 ввести формулу =SIN(5*A2)+A2^2-1, остальные ячейки заполнить с помощью маркера заполнителя.
Выделить диапазон А2:В32 и с помощью мастера диаграмм построить ГРАФИК функции

Из графика видно, что на отрезке 0;0,5 есть два корня из таблицы значений функции заключаем, что уравнение имеет четыре корня в интервалах [-0,8; -0,7][0,2; 0,2][0,4; 0,5][1,1; 1,2]
Чтобы убедится в том что больше корней нет преобразуем уравнение к виду sin 5x=1-x2 и построим графики двух функций f2(x)=sin5x и f2(x)=1-x2
Корнями соответствуют абсциссы точек пересечения этих графиков

|
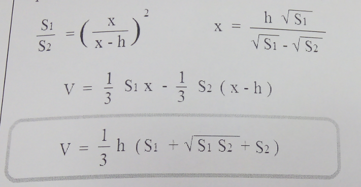
Объём усечённой пирамиды равен разности объёмов двух полных пирамид
где V - объём пирамиды x - высота полной пирамиды h - высота усечённной пирамиды S1 S2 - площади нижнего и верхнего оснований |
Вставка графических объектов в MS Word 2007
Цель: научиться использовать графические возможности MS Word 2007
1. С помощью стандартных фигур на вкладке Вставка создайте рисунок 1, внутрь блок-схему добавьте соответствующие надписи. Измените формат надписи, установив для цвета заливки и цвета линии параметр Нет цвета.

Создайте рисунок 2, состоящий из трёх компонентов

3. Вставьте из коллекции клипов Microsoft Office 3 изображения.
Поменяйте параметры рисунка: настройте яркомть, контрастность, измените размеры рисунка и его закраску.
4. Скопируйте абзац любого текста. Выполните вставку рисунка графического файла, совместите его с текстом, установив параметры обтекания текста вокруг рамки рисунка. Поэкспериментируйте с положением рисунка и обтеканием текста.
5. Вставьте следюущий объект SmartArt и добавьте следующие надписи.

Сделайте индивидуальный заказ на нашем сервисе. Там эксперты помогают с учебой без посредников
Разместите задание – сайт бесплатно отправит его исполнителя, и они предложат цены.
Цены ниже, чем в агентствах и у конкурентов
Вы работаете с экспертами напрямую. Поэтому стоимость работ приятно вас удивит
Бесплатные доработки и консультации
Исполнитель внесет нужные правки в работу по вашему требованию без доплат. Корректировки в максимально короткие сроки
Гарантируем возврат
Если работа вас не устроит – мы вернем 100% суммы заказа
Техподдержка 7 дней в неделю
Наши менеджеры всегда на связи и оперативно решат любую проблему
Строгий отбор экспертов
К работе допускаются только проверенные специалисты с высшим образованием. Проверяем диплом на оценки «хорошо» и «отлично»
Работы выполняют эксперты в своём деле. Они ценят свою репутацию, поэтому результат выполненной работы гарантирован
Ежедневно эксперты готовы работать над 1000 заданиями. Контролируйте процесс написания работы в режиме онлайн
Необходимо выполнить и оформить три лабораторных работы в программе...
Лабораторная, Математическое моделирование
Срок сдачи к 15 янв.
Практические работы
Другое, Транспортная инфраструктура, автомобильное дело, машиностроение, детали машин
Срок сдачи к 18 янв.
Найти какие государственные программы реализуются по теме работы, а также как они перекликаются с исследователями по приложенному файлу
Статья, Муниципальное Госуправление, менеджмент, экономика
Срок сдачи к 16 янв.
Выполнить 3 теста по Технологии продукции общественного питания. М-08210
Тест дистанционно, Общественное питание, кулинария
Срок сдачи к 15 янв.
Патентные исследования по теме студенческой работы «Составы и способы получения пленок из полимерных материалов»
Курсовая, Основы научных исследований и защита информации
Срок сдачи к 23 янв.
Сущность языка, проблема его происхождения
Реферат, Русский язык и культура речи
Срок сдачи к 15 янв.
Методика преподавания дисциплин (модулей) психолого-педагогического профиля
Тест дистанционно, Психология и педагогика
Срок сдачи к 16 янв.
Криминалистика. Ответить на 2 вопроса и одна задача
Решение задач, Юриспруденция
Срок сдачи к 18 янв.
Вам нужно сконструировать представления для решения трех различных...
Решение задач, Анализ и визуализация данных, дизайн, информатика экономика,
Срок сдачи к 15 янв.
Решить 4 задачи по оперативно-розыскному обеспечению национальной безопасности
Решение задач, Юриспруденция
Срок сдачи к 18 янв.
Заполните форму и узнайте цену на индивидуальную работу!