это быстро и бесплатно
Оформите заказ сейчас и получите скидку 100 руб.!
ID (номер) заказа
3653183
Ознакомительный фрагмент работы:
Исходные данные:
Начало интервала 0
Конец интерваоа 360
Количество точек 18
Задание: построить таблицу значений и графики, тригонометрических функций y=sin(x); y=sin(2x); y=cos(x).
Порядок выполнения работы:
Построение таблицы и графиков биоритмов
В результате исследований было выявлено, что функции физической активности, эмоционального состояния, и умственных способностей человека являются периолическими с периодами 23 ня (Ф), 28 дней (Э) и 33 дня (И).
Функции состояния человека в момент его рождения равны нулю, а затем начинают возрастать и каждая за свой период одно максимально положительное и одно минимально отрицательное значение. Таким образом, биологические ритмы могут быть описаны функциями sin2π(t-w)T sin 2π(t-t0)Tr, где t - время, T - периоды, r - номер периода.
Началом всех трёх графиков является день рождения, т.е. t=t0, sin(0)=0.
Исходные данные:
Задание:
Построить таблицу и графики биоритмов.
Порядок выполнения работы:



Задание по программе EXCEL
Антропометрическое обследование
1. Построить таблицу 1 с исходными данными "Общие сведения о пациенте". Таблица содержит общие сведения о пациенте. Соблюдайте нумерацию ячеек.

2. Построить таблицу 2 с исходными данными "Измеряемые параметры". Таблица содержит данные, полученные при обследовании пациента.

3. Построить таблицу 3 "Вычисляемые параметры". Ввести формулу в столбец С.
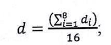
Параметры Вода(%), ЕСМ(%), ЖМ (%), АКМ (%), ТМТ (%), ЖМ (%) Матейка, Масса костной ткани (%) вычисляются как процентное соотношение между массой тела и одним из измерённых параметров (например, жировой массой).
ЖМ (ког) Матейка вычисляется по формуле чешского антрополога Й. Матейки (1921 г.) для измерения массы жировой ткани:
МЖТ (кг) = d x S x k, где


Масса костной ткани (кг) вычисляется по формуле того же автора для определения массы костной ткани:
МКТ (кг) = Z x o2 x k, где
Индекс ТБ вычисляется по формуле Окружность талии/Окружность бёдер.
4. Отформатируйте таблицы: выровнять текст в ячейках, добавить таблицам заливку и обозначить границы. Результаты вычислений представлены в таблице.

1. Создать таблицу в MS Excel, отформатировав её:
2. Рассчитать стоимость товаров.
3. Рассчитать средние показатели "Среднее": объём продаж, цену за единицу товара, стоимость.
4. Рассчитать итоговые (суммарные) показатели "Итого": объём продаж, стоимость.
5. Заполнить нумерацию строк от 1 до 20 арифметической прогрессией с шагом 1;
6. Присвоить датам формат даты типа 14 мар 17.
7. Выделить значения:

Практическая работа Excel "Фильтрация данных протокола соревнований"
Задание по программе Excel


Электронная анкета
1. Общая информация
Фамилия Имя Отчество
Возраст ___ лет Телефон
График работы: Свободный график

ВНИМАНИЕ!

2. Информация об образовании
Образование: Среднее
Опыт работы: есть нет
Задание по программе WORD
Создать документ по образцу.
Работу выполнил студента ___ курса, ____ группы
направления подготовки __________
1. Создание таблиц

2. Вставка объектов

3. Ввод формул

4. Рисование

Задание по программе WORD
Ввести и отформатировать следующий текст по образцу:
Правила работы пользователей в компьютерных классах (КК) каф. ЕНД
Правила поведения в КК
В компьютерном классе запрещено:
Ответственность пользователей
Сделайте индивидуальный заказ на нашем сервисе. Там эксперты помогают с учебой без посредников
Разместите задание – сайт бесплатно отправит его исполнителя, и они предложат цены.
Цены ниже, чем в агентствах и у конкурентов
Вы работаете с экспертами напрямую. Поэтому стоимость работ приятно вас удивит
Бесплатные доработки и консультации
Исполнитель внесет нужные правки в работу по вашему требованию без доплат. Корректировки в максимально короткие сроки
Гарантируем возврат
Если работа вас не устроит – мы вернем 100% суммы заказа
Техподдержка 7 дней в неделю
Наши менеджеры всегда на связи и оперативно решат любую проблему
Строгий отбор экспертов
К работе допускаются только проверенные специалисты с высшим образованием. Проверяем диплом на оценки «хорошо» и «отлично»
Работы выполняют эксперты в своём деле. Они ценят свою репутацию, поэтому результат выполненной работы гарантирован
Ежедневно эксперты готовы работать над 1000 заданиями. Контролируйте процесс написания работы в режиме онлайн
15 страниц Антиплагиат нужен, но никакой информации не знаю
Курсовая, Ведении информационной безопасности и нормативной обеспечении отросли
Срок сдачи к 11 февр.
Курсовая работа по дисциплине «основы управления рисками»
Курсовая, Основы управления рисками
Срок сдачи к 6 февр.
Стандартизация бизнес процессов предприятий сферы гостеприимства и общественного питания
Отчет по практике, «Инновационные технологии управления гостиничным бизнесом»
Срок сдачи к 6 февр.
Выполнить практические в autoCAD
Чертеж, Компьютерное моделирование рудных месторождений
Срок сдачи к 18 февр.
«Влияние искусственного интеллекта на юнит-экономику цифровых продуктов
Статья, 1
Срок сдачи к 5 февр.
Выполнить по одному заданию по высшей математике из каждой лабораторной в файле
Контрольная, Высшая математика
Срок сдачи к 9 февр.
на тему: Оценка эффективности применения антибиотиков и...
Курсовая, по МДК 02.02 Методики клинической диагностики и лечения внутренних незаразных болезней
Срок сдачи к 13 февр.
Расчёт потребного числа транспортных средств (трубовозов)
Решение задач, Нефтегазовое дело
Срок сдачи к 5 февр.
Выполнить контрольную работу 8 варианта согласно методическим указаниям
Контрольная, Инжереная геодезия
Срок сдачи к 8 февр.
«Обеспечение организации системы безопасности предприятия» страниц...
Курсовая, Введение в информационную безопасность и нормативное обеспечение отрасли
Срок сдачи к 12 февр.
Курсовая работа по дисциплине «основы психологического консультирования» "консультативная поддержка клиента, переживающего утрату»
Курсовая, Клиническая психология
Срок сдачи к 16 февр.
Контрольное задание (swot анализ)
Другое, Стратегический анализ и управление развитием организации
Срок сдачи к 8 февр.
Заполните форму и узнайте цену на индивидуальную работу!