Всё сдал! - помощь студентам онлайн Всё сдал! - помощь студентам онлайн

Реальная база готовых
студенческих работ

Узнайте стоимость индивидуальной работы!

Вы нашли то, что искали?

Вы нашли то, что искали?

Да, спасибо!

0%

Нет, пока не нашел

0%

Узнайте стоимость индивидуальной работы

это быстро и бесплатно

Получите скидку

Оформите заказ сейчас и получите скидку 100 руб.!


Программирование циклов.

Тип Другое
Предмет Информатика, 10 класс

ID (номер) заказа
5054059

500 руб.

Просмотров
334
Размер файла
848.64 Кб
Поделиться

Ознакомительный фрагмент работы:

Программирование циклов.

 

Задание 1.

Напишите программу на языке Паскаль, а также постройте блок-схему алгоритма для решения следующей задачи:

Вычислить среднее арифметическое всех положительных значений функции

y(x) = x3 + cos4x, на промежутке [-2; 2] с шагом h = 0.2.

 

Программная реализация обязательна. На проверку нужно прислать код программы и результаты работы в виде скриншота окна программы Паскаль, а также построенную блок-схему алгоритма решения задачи.

 

Напишите программные коды на языке Паскаль для решения задания 1-3. Все задания обязательно нужно выполнить, используя программное обеспечение. Рукописный вариант кода на проверку не принимается.

 

Задание 2.

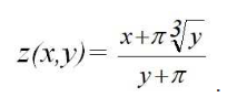
Вычислите значение функции  . Значение переменных x и y задайте самостоятельно путем ввода с клавиатуры.

 

Задание 3.

Используя формулу суммы членов арифметической прогрессии, найдите сумму всех натуральных чисел от 1 до M. Значение М задайте путем ввода с клавиатуры самостоятельно. 

 

Задание 4.

Дана функция fi(x)= 3x2 + 2cosx. Протабулируйте данную функцию на промежутке [-3; 3] с шагом h = 0.3. Найдите минимальное значение функции, а также определите значение аргумента, для которого оно достигается.

Программная реализация обязательна. На проверку нужно прислать коды программ и результаты работы в виде скриншота окна программы Паскаль.

 

Задание 5.

Составьте на языке программирования Паскаль программу для обработки массива из 15 чисел. Значения элементов массива задайте путём ввода с клавиатуры. Входные данные придумайте самостоятельно. Вычислите сумму элементов массива, не равных нулю, больших b и меньших a. Напечатайте номера

элементов, которые удовлетворяют поставленному условию. Значения переменных a и b задайте самостоятельно.

 

Программная реализация обязательна. На проверку нужно прислать скриншот окна программы Паскаль с отображением кода программ и результата работы.

 

Задание 6.

Составьте блок-схему алгоритма для решения следующей задачи.

Катет прямоугольного треугольника равен 5 см, а разность между гипотенузой и вторым катетом – 1 см. Вычислите площадь треугольника.

 

Задание 7.

Напишите программный код на языке Паскаль или Python для решения задания 4. Входные данные нужно задать путём ввода с клавиатуры. Предусмотрите проверку ввода нулевых значений.

На проверку нужно прислать тексты программ на Паскале или Python, результаты работы в виде скриншотов окна программы с отображением кодов, входных данных и полученного результата.


Нет нужной работы в каталоге?

Сделайте индивидуальный заказ на нашем сервисе. Там эксперты помогают с учебой без посредников Разместите задание – сайт бесплатно отправит его исполнителя, и они предложат цены.

Цены ниже, чем в агентствах и у конкурентов

Вы работаете с экспертами напрямую. Поэтому стоимость работ приятно вас удивит

Бесплатные доработки и консультации

Исполнитель внесет нужные правки в работу по вашему требованию без доплат. Корректировки в максимально короткие сроки

Гарантируем возврат

Если работа вас не устроит – мы вернем 100% суммы заказа

Техподдержка 7 дней в неделю

Наши менеджеры всегда на связи и оперативно решат любую проблему

Строгий отбор экспертов

К работе допускаются только проверенные специалисты с высшим образованием. Проверяем диплом на оценки «хорошо» и «отлично»

1 000 +
Новых работ ежедневно
computer

Требуются доработки?
Они включены в стоимость работы

Работы выполняют эксперты в своём деле. Они ценят свою репутацию, поэтому результат выполненной работы гарантирован

avatar
Математика
История
Экономика
icon
159599
рейтинг
icon
3275
работ сдано
icon
1404
отзывов
avatar
Математика
Физика
История
icon
156804
рейтинг
icon
6076
работ сдано
icon
2739
отзывов
avatar
Химия
Экономика
Биология
icon
105734
рейтинг
icon
2110
работ сдано
icon
1318
отзывов
avatar
Высшая математика
Информатика
Геодезия
icon
62710
рейтинг
icon
1046
работ сдано
icon
598
отзывов
Отзывы студентов о нашей работе
61 920 оценок star star star star star
среднее 4.9 из 5
ВСГУТУ
Все очень быстро, понятно, и главное цена очень низкая ))) обращайтесь без сомнений👍🏻👍🏻🤝
star star star star star
СВГУ
Заказывала конспекты видео лекций - сделано чисто, быстро, текст изложен грамотно. Я очен...
star star star star star
Московский международный университет
Владимир прекрасный специалист своего дела. Спасибо, за работу. Ответственный, качественно...
star star star star star

Последние размещённые задания

Ежедневно эксперты готовы работать над 1000 заданиями. Контролируйте процесс написания работы в режиме онлайн

Тема: Развитие лёгкой атлетики в России

Диплом, Физическая культура

Срок сдачи к 5 мар.

1 минуту назад

Теория вероятностей 9 класс , тесты

Решение задач, Теория вероятностей и математическая статистика

Срок сдачи к 23 февр.

3 минуты назад

Задачи по химии 9 класс

Решение задач, Химия

Срок сдачи к 23 февр.

4 минуты назад

нужно сделать 5 лабораторных

Лабораторная, Электротехника

Срок сдачи к 27 февр.

7 минут назад

Физика 9 класс тесты

Решение задач, Физика

Срок сдачи к 23 февр.

7 минут назад

Решить задачи по примеру

Решение задач, Метрология и стандартизация

Срок сдачи к 22 февр.

8 минут назад

Написать индивидуальное сообщение на тему: средние века

Другое, Мировая Отечественная художественная культура

Срок сдачи к 23 февр.

8 минут назад

Отчёт полный факторный эксперимент первого порядка пфэ

Другое, Методология, электротехника

Срок сдачи к 23 февр.

9 минут назад

Выполнить курс "Начертательная геометрия и инженерная графика 2.2". М-08603

Контрольная, Начертательная геометрия и инженерная графика

Срок сдачи к 21 мар.

11 минут назад

Конфигурирование и настройка аппаратно-программных офисных...

Курсовая, МДК, информатика, электротехника

Срок сдачи к 24 февр.

11 минут назад

Отчёт по практике

Отчет по практике, Туризм

Срок сдачи к 24 февр.

11 минут назад

Организация местного самоуправления( на примере своего поселения, муниципального района, городского округа)

Реферат, Муниципальное управление и местное самоуправление

Срок сдачи к 12 мар.

11 минут назад

Написать курсовую

Курсовая, Таможенное дело

Срок сдачи к 25 мая

11 минут назад

решение задач № 8, 9, 10

Решение задач, Методы принятия решений, менеджмент

Срок сдачи к 25 февр.

11 минут назад

Презентация на 18 слайдов

Презентация, Стратегический менеджмент и управление проектами в государственном управлении

Срок сдачи к 3 апр.

11 минут назад

И. В. Витте, Выбрать тему, сделать задание по рекомендациям

Курсовая, Гражданское право

Срок сдачи к 15 мая

11 минут назад

Решить задачи по примеру

Решение задач, Метрология и стандартизация

Срок сдачи к 22 февр.

11 минут назад
planes planes
Закажи индивидуальную работу за 1 минуту!

Размещенные на сайт контрольные, курсовые и иные категории работ (далее — Работы) и их содержимое предназначены исключительно для ознакомления, без целей коммерческого использования. Все права в отношении Работ и их содержимого принадлежат их законным правообладателям. Любое их использование возможно лишь с согласия законных правообладателей. Администрация сайта не несет ответственности за возможный вред и/или убытки, возникшие в связи с использованием Работ и их содержимого.

«Всё сдал!» — безопасный онлайн-сервис с проверенными экспертами

Используя «Свежую базу РГСР», вы принимаете пользовательское соглашение
и политику обработки персональных данных
Сайт работает по московскому времени:

Вход
Регистрация или
Не нашли, что искали?

Заполните форму и узнайте цену на индивидуальную работу!

Файлы (при наличии)

    это быстро и бесплатно
    Введите ваш e-mail
    Файл с работой придёт вам на почту после оплаты заказа
    Успешно!
    Работа доступна для скачивания 🤗.