это быстро и бесплатно
Оформите заказ сейчас и получите скидку 100 руб.!
ID (номер) заказа
5462302
Ознакомительный фрагмент работы:
Практическое занятие №5 по теме «Microsoft Word»
В рамках практического занятия №5 вы познакомитесь с некоторыми командами MS Word и научитесь основам работы с документами.
Текстовый редактор Microsoft Word предназначен для создания, редактирования, вывода на экран и печать, сохранения в виде файлов различного рода документов: макетов книг, брошюр, отчетов, деловых писем,
бланков и т. д. Навыки работы с текстовым редактором являются обязательными как для студентов при подготовке отчетов, рефератов, курсовых и выпускных квалификационных работ, так и для специалистов
различных профессий.
Обратите внимание при выполнении работы, что функционал редактора зависит от версии, в которой Вы будете осуществлять работу и названия команд, описанные в работе, могут иметь отличия с командами, которые
представлены в Вашей версии редактора.
Часть 1. Предварительная настройка
1. Запустите программу MS Word через Пуск или используя ярлык на Рабочем столе.
2. Если в окне редактора под панелью инструментов отсутствует масштабная линейка, то щелкните по вкладке "Вид" и установите флажок "Линейка". Примечание: Если масштабная линейка в окне редактора присутствует, то вначале указанным способом удалите ее, а затем верните на свое место.
3. Познакомьтесь с режимами: для этого нажмите на значок «Режим чтения». Вернуться в режим редактирования (режим «Разметка страницы» возможно с помощью клавиши ESC на клавиатуре. В результате в окне редактора документ примет свой естественный вид (как на бумаге) с обозначенными непечатаемой пунктирной рамкой полями (левым, верхним и правым), но в меньшем масштабе
4. Попробуйте изменить масштаб отображения документа в окне редактора. Это возможно реализовать также с помощью перехода в раздел «Вид» и выбора команды «Масштаб». При открытии окна настройки масштаба
среди различных значений масштаба также щелчком мыши выберите "По ширине страницы" и нажмите «ОК». Будет установлен максимально возможный масштаб с точностью до одного процента (с учетом возможностей
используемых монитора и видеокарты). Именно это значение и рекомендуется использовать в будущем.
Часть 2. Ввод и форматирование текста
Напечатайте и оформите следующий текст в соответствии с
требованиями.
Задание 2. Ввод текста
КЕКСЫ ИЗ КУРИНОГО ФИЛЕ С ТЫКВОЙ, В
МИКРОВОЛНОВКЕ
Куриное филе - 200 г
Тыква (очищенная) - 150 г
Яйцо - 1 шт.
Мука - 40 г (2 ч. ложки с горкой)
Сметана - 20 г (1 ст. ложка)
Соль - 1/3 ч. ложки (по вкусу)
Перец чёрный молотый - 1/5 ч. ложки
Травы итальянские сушёные - 1/2 ч.
ложки
Масло подсолнечное рафинированное -
15 мл (1 ст. ложка)
Нежные и вкусные кексы из куриного филе, которые готовятся всего 10 минут в микроволновке. Дополнения в виде тыквы, сметаны и яйца придают блюду насыщенный вкус и яркий вид. Такие куриные кексы отлично
подойдут для любого меню, в том числе и для тех, кто придерживается здорового питания.
Требования к форматированию текста:
1. В названии задания установите шрифт Times New Roman, размер шрифта 18 пт.
2. Поменяйте цвет текста на красный, установите полужирное начертание.
3. Задайте интервал между символами разреженный на 3 пт. Для этого нажмите сочетание клавиш Ctrl+D или выберите на панели инструментов значок «Шрифт» (рис.1). После открытия окна «Шрифт» (рис.2)
перейдите в раздел «Дополнительно». Измените тип интервала с «Обычный» на «Разреженный» и установите нужное значение. Сохраните изменения.

4. Установите выравнивание абзаца по центру, добавьте интервал после абзаца.
5. В названии блюда установите размер шрифта 17 пт, начертание полужирное.
6. Интервал между символами установите таким же как в п.3 данного задания.
7. Установите выравнивание абзаца по центру. Настройте интервал между данной и предыдущей строками (одинарный).
8. Оформите список ингредиентов по следующим требованиям: размер шрифта 13 пт, начертание полужирное, выравнивание абзацев по левому краю с отступом 8 см слева, междустрочный интервал одинарный.
9. Обратите внимание на описание к рецепту: установите размер шрифта 13 пт, выравнивание абзаца по ширине, отступ первой строки 1 см, междустрочный интервал полуторный.
10. Выделите последнее предложение из описания к рецепту.
Установите размер шрифта 14 пт, начертание курсивное.
11. Установите выравнивание выделенного фрагмента текста по правому краю, установите цвет выделения текста, выбрать цвет можно самостоятельно.
По завершению работы перейдите в раздел «Макет», найдите и нажмите команду «Разрыв страницы». Эта функция позволяет завершить работу на текущей странице и перейти к следующей. Примечание. В некоторых версиях Word эта команда может находиться в разделе «Вставка» в левой части панели инструментов.
Часть 3. Создание многоуровневого списка
Напечатайте следующий текст (параметры шрифта и абзацев могут быть произвольными). При наборе текста настройте нумерацию в тексте и уровни списка с помощью команд «Нумерация» и «Многоуровневый список»,
размещенных в разделе «Главная».
Microsoft Word – это программа для обработки текста, разработанная корпорацией Microsoft. Она позволяет создавать и редактировать документы любой сложности, включая многоуровневые списки.
Преимущества использования многоуровневых списков в Microsoft Word:
1. Удобство организации информации. Многоуровневые списки позволяют структурировать данные и делать их более понятными для читателя.
1.1. Первый уровень списка.
1.1.1. Подпункт первого уровня.1.1.1.1. Подпункт второго уровня
1.1.1.1.1. Подпункт третьего уровня.
2. Возможность создания иерархической структуры. Многоуровневые списки позволяют выделить основные и дополнительные элементы информации, что делает документ более структурированным.
2.1. Второй уровень списка.
2.1.1. Подпункт второго уровня.
2.1.1.1. Подпункт третьего уровня.
2.1.1.1.1. Подпункт четвертого уровня.
3. Возможность настройки внешнего вида списка. Microsoft Word предоставляет широкие возможности по настройке внешнего вида многоуровневых списков, таких как выбор стилей, шрифтов, маркеров и
отступов.
Таким образом, использование многоуровневых списков в Microsoft Word поможет сделать ваш документ более структурированным, наглядным и легким для восприятия читателем.
Требования:
1. Скопируйте введенный текст и вставьте его после написанного. В результате выполнения этого шага в работе будет размешено два одинаковых текста.
2. Удалите нумерацию во втором тексте. Оформите список с использованием маркеров. Можете выбрать любой маркер, представленный в функционале Word.
3. Проведите поиск и замену слов по данному тексту. Для этого найдите в разделе «Главная» команду «Найти» (рис.3). Выберите из выпадающего списка команду «Расширенный поиск». В открывшемся окне переходим в раздел «Заменить» (рис.4).
4. Осуществите поиск словосочетания «Microsoft Word» в рабочем тексте и замените искомое словосочетание на аббревиатуру «MSW».

По завершению работы перейдите в раздел «Макет», найдите и нажмите команду «Разрыв страницы». Эта функция позволяет завершить работу на текущей странице и перейти к следующей. Примечание. В некоторых версиях Word эта команда может находиться в разделе «Вставка» в левой части панели инструментов.
Часть 4. Работа с таблицами
Ознакомьтесь со структурой многоуровневого списка. Создайте таблицу, иллюстрирующую структуру описанных компонентов. Обратите внимание, что итоговая таблица будет содержать разное выравнивание.
1. Средства копирования и размножения документов.
1.1. Средства оперативной полиграфии.
1.1.1. Офсетная печать.
1.1.2. Трафаретная печать.
1.2. Средства репрографии.
1.2.1. Электронно-графическое копирование.
1.2.2. Термографическое копирование.
2. Средства административно-управленческой связи.
2.1. Средства недокументированной информации.
2.1.1. Телефонная связь.
2.1.2. Радиопоисковая связь.
2.2. Средства с документированием информации.
Требования к заполнению таблицы:
1. Создайте таблицу. Для этого необходимо в разделе «Вставка» выбрать команду «Таблица» и выбрать нужные параметры для создания таблицы. Параметрами в данном случае будут являться количество столбцов и
строк, установите число столбцов: 4, число строк: 6. Добавить или удалить столбцы и строки можно в ходе работы.
2. Выделите таблицу. При работе с таблицами на панели инструментов появляются разделы «Конструктор таблиц» и «Макет», которые предназначены для работы с таблицами в Word. (рис.5)

3. В соответствии с нумерацией определите количество ячеек в каждой строке таблицы. Сократить количество ячеек можно командой «Объединить ячейки», которая размещается в разделе «Макет».
4. Перейдите снова в раздел «Макет». Установите выравнивание в каждой ячейке в соответствии с примером. Обратите внимание, что некоторые ячейки содержат иное направление текста, настраиваемое командой
«Направление текста» в данном разделе.
5. Cкопируйте таблицу и вставьте копию на следующей строке.
6. Оформите данную таблицу без границ. Реализовать это можно двумя способами. Для этого, выделив таблицу, перейдите в раздел «Конструктор таблиц». В пункте «Обрамление» выберите один из следующих способов:



Результат работы с таблицами должен выглядеть следующим образом (табл.1,2). Определите высоту строк, содержащих жирный текст, как «1,2 см».
Остальные оставьте по умолчанию.
По завершению работы перейдите в раздел «Макет», найдите и нажмите команду «Разрыв страницы». Эта функция позволяет завершить работу на текущей странице и перейти к следующей. Примечание. В некоторых версиях Word эта команда может находиться в разделе «Вставка» в левой части панели инструментов.
Часть 5. Добавление формул
1. Для выполнения задания запустите редактор формул. Для этого найдите в разделе «Вставка» команду «Уравнение». После выбора данной команды выберите из выпадающего списка пункт «Вставить новое
уравнение». Обратите внимание, что на панели инструментов появится раздел «Уравнение».
2. Наберите следующее выражение

3. Наберите фрагменты следующего текста с математическими выражениями. Если текст задания вы хотите набрать, когда находитесь в редакторе формул, то выберите команду «Стиль/Текст», которая размещена в
разделе «Уравнение».
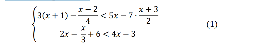
А. Решите неравенства

Б. Корни уравнения 𝑎𝑥2 + 𝑏𝑥 + 𝑐 = 0 находятся по формуле

Возвращение в Документ происходит щелчком мыши вне редактируемой области с формулами. Если есть необходимость внести после вставки формулы изменения, используется двойной щелчок мыши на формуле.
Сохраните внесенные изменения. По завершению работы не забудьте переименовать готовую работу для последующей загрузки в LMS и проверки работы преподавателем.
Контрольные вопросы
1. Каково назначение текстового редактора MS Word?
2. Назовите основные элементы окна программы MS Word и укажите их функциональное значение.
3. Какие возможности для форматирования предоставляет диалоговое окно Шрифт?
4. Что такое абзац? Перечислите основные способы форматирования абзацев.
5. Какими способами можно выделять в документе Word различные фрагменты текста?
6. Каким образом в документах Word выполняются копирование, перемещение и удаление фрагментов текста и объектов?
7. Как вставить в текст математическую формулу?
Сделайте индивидуальный заказ на нашем сервисе. Там эксперты помогают с учебой без посредников
Разместите задание – сайт бесплатно отправит его исполнителя, и они предложат цены.
Цены ниже, чем в агентствах и у конкурентов
Вы работаете с экспертами напрямую. Поэтому стоимость работ приятно вас удивит
Бесплатные доработки и консультации
Исполнитель внесет нужные правки в работу по вашему требованию без доплат. Корректировки в максимально короткие сроки
Гарантируем возврат
Если работа вас не устроит – мы вернем 100% суммы заказа
Техподдержка 7 дней в неделю
Наши менеджеры всегда на связи и оперативно решат любую проблему
Строгий отбор экспертов
К работе допускаются только проверенные специалисты с высшим образованием. Проверяем диплом на оценки «хорошо» и «отлично»
Работы выполняют эксперты в своём деле. Они ценят свою репутацию, поэтому результат выполненной работы гарантирован
Ежедневно эксперты готовы работать над 1000 заданиями. Контролируйте процесс написания работы в режиме онлайн
Выполнить 2 контрольные работы по Информационные технологии и сети в нефтегазовой отрасли. М-07765
Контрольная, Информационные технологии
Срок сдачи к 12 дек.
Архитектура и организация конфигурации памяти вычислительной системы
Лабораторная, Архитектура средств вычислительной техники
Срок сдачи к 12 дек.
Организации профилактики травматизма в спортивных секциях в общеобразовательной школе
Курсовая, профилактики травматизма, медицина
Срок сдачи к 5 дек.
краткая характеристика сбербанка анализ тарифов РКО
Отчет по практике, дистанционное банковское обслуживание
Срок сдачи к 5 дек.
Исследование методов получения случайных чисел с заданным законом распределения
Лабораторная, Моделирование, математика
Срок сдачи к 10 дек.
Проектирование заготовок, получаемых литьем в песчано-глинистые формы
Лабораторная, основы технологии машиностроения
Срок сдачи к 14 дек.
Вам необходимо выбрать модель медиастратегии
Другое, Медиапланирование, реклама, маркетинг
Срок сдачи к 7 дек.
Ответить на задания
Решение задач, Цифровизация процессов управления, информатика, программирование
Срок сдачи к 20 дек.
Написать реферат по Информационные технологии и сети в нефтегазовой отрасли. М-07764
Реферат, Информационные технологии
Срок сдачи к 11 дек.
Написать реферат по Информационные технологии и сети в нефтегазовой отрасли. М-07764
Реферат, Геология
Срок сдачи к 11 дек.
Разработка веб-информационной системы для автоматизации складских операций компании Hoff
Диплом, Логистические системы, логистика, информатика, программирование, теория автоматического управления
Срок сдачи к 1 мар.
Нужно решить задание по информатике и математическому анализу (скрин...
Решение задач, Информатика
Срок сдачи к 5 дек.
Заполните форму и узнайте цену на индивидуальную работу!