это быстро и бесплатно
Оформите заказ сейчас и получите скидку 100 руб.!
ID (номер) заказа
6292726
Ознакомительный фрагмент работы:
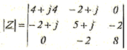
2. Известна матрица цепи, полученная по етоду контурных токов.
Составить схему цепи и опреелить величины сопротивлений ветвей, полагая, что ветви не связаны индуктивно.


Задача на доске
Решить исходную электрическую цепь с использованием законов Кирхгофа, методом контурных токов, методом узловых потенциалов, для одного из метода составить баланс мощности.
Сделайте индивидуальный заказ на нашем сервисе. Там эксперты помогают с учебой без посредников
Разместите задание – сайт бесплатно отправит его исполнителя, и они предложат цены.
Цены ниже, чем в агентствах и у конкурентов
Вы работаете с экспертами напрямую. Поэтому стоимость работ приятно вас удивит
Бесплатные доработки и консультации
Исполнитель внесет нужные правки в работу по вашему требованию без доплат. Корректировки в максимально короткие сроки
Гарантируем возврат
Если работа вас не устроит – мы вернем 100% суммы заказа
Техподдержка 7 дней в неделю
Наши менеджеры всегда на связи и оперативно решат любую проблему
Строгий отбор экспертов
К работе допускаются только проверенные специалисты с высшим образованием. Проверяем диплом на оценки «хорошо» и «отлично»
Работы выполняют эксперты в своём деле. Они ценят свою репутацию, поэтому результат выполненной работы гарантирован
Ежедневно эксперты готовы работать над 1000 заданиями. Контролируйте процесс написания работы в режиме онлайн
Проектирование базового ремонтного локомотив ного депо переменного...
Диплом, Мдк железная дорога
Срок сдачи к 1 июня
Проектирование базового ремонтного локомотивного депо переменного тока...
Диплом, Помощник машиниста
Срок сдачи к 1 июня
Разработка информационной системы абонентского обслуживания интернет провайдера
Диплом, Прикладная информатика в экономике
Срок сдачи к 13 мая
Особенности восприятия авторитетов в ходе становления убеждений личности
ВКР, Психология личности
Срок сдачи к 30 июня
Всоответствии сзаданнымвариантомразработать алгоритмскрытияинформации
Курсовая, Стеганографические методы защиты информации
Срок сдачи к 11 мая
Презентация на тему: "Традиционный костюм саамов Кольского полуострова.
Презентация, История кольского полуострова.
Срок сдачи к 11 мая
Проектирование Технологическиго процесса монтажа продольного рельса к элементам шпангоута фюзеляжа самолета МС-21
Диплом, Авиационная промышленность
Срок сдачи к 5 июня
Дошкольное воспитание и образование как педагогическая система.
Контрольная, Дошкольная педагогика
Срок сдачи к 12 мая
Вариант 4. Теоретический вопрос. Дайте определение логопсихологии как научной дисциплины. Назовите ее объект, предмет и одну из основных практических задач.
Контрольная, логопсихология
Срок сдачи к 12 мая
Скорректировать дипломную работу, убрать ИИ
Услуги корректора, Предпринимательство
Срок сдачи к 18 мая
Технологическая (проектно-технологическая) практика
Отчет по практике, Лесное хозяйство
Срок сдачи к 15 мая
Написать полный диплом (Можно предварительный для внесения правок науч. руком
Диплом, Расчёты с бюджетом по налогам и сборам (УСН)
Срок сдачи к 11 мая
Заполните форму и узнайте цену на индивидуальную работу!