это быстро и бесплатно
Оформите заказ сейчас и получите скидку 100 руб.!
ID (номер) заказа
6293554
Ознакомительный фрагмент работы:
Введение
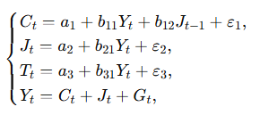
Актуальность темы контрольной работы обусловлена необходимостью исследования взаимосвязей ключевых макроэкономических показателей и способов их количественной оценки в условиях многопараметричных экономических систем. Анализ систем одновременных уравнений позволяет выявить и смоделировать влияние эндогенных факторов друг на друга, что даёт возможность обосновать экономическую политику и прогнозировать изменения в совокупном доходе, потреблении, инвестициях и налоговых поступлениях.
1. Теоретическая часть
2. Практическая часть
Для гипотетической модели (вариант 8)

Заключение
В рамках контрольной работы была подробно рассмотрена гипотетическая макроэкономическая модель, состоящая из четырёх уравнений: функций потребления, инвестиций, налогообложения и тождества совокупного дохода.
Сделайте индивидуальный заказ на нашем сервисе. Там эксперты помогают с учебой без посредников
Разместите задание – сайт бесплатно отправит его исполнителя, и они предложат цены.
Цены ниже, чем в агентствах и у конкурентов
Вы работаете с экспертами напрямую. Поэтому стоимость работ приятно вас удивит
Бесплатные доработки и консультации
Исполнитель внесет нужные правки в работу по вашему требованию без доплат. Корректировки в максимально короткие сроки
Гарантируем возврат
Если работа вас не устроит – мы вернем 100% суммы заказа
Техподдержка 7 дней в неделю
Наши менеджеры всегда на связи и оперативно решат любую проблему
Строгий отбор экспертов
К работе допускаются только проверенные специалисты с высшим образованием. Проверяем диплом на оценки «хорошо» и «отлично»
Работы выполняют эксперты в своём деле. Они ценят свою репутацию, поэтому результат выполненной работы гарантирован
Ежедневно эксперты готовы работать над 1000 заданиями. Контролируйте процесс написания работы в режиме онлайн
Выполнить тест 1.(09), тест 3.(09), тест 3. (с17), тест гт
Контрольная, Математика
Срок сдачи к 13 мая
Тема реферата: - Физическая реабилитация детей при оперативном методе лечения врожденного вывиха бедра
Реферат, Физическая реабилитация в детском возрасте
Срок сдачи к 15 мая
Итоговый проект — Применение инструментов ИИ для генерации контента
Другое, Цифровой маркетинг и медиа
Срок сдачи к 18 мая
Свобода совести и вероисповедания в Российской Федерации.
Курсовая, Конституционное право
Срок сдачи к 24 мая
Курсовая работа по тз
Курсовая, Автоматизация проектирования технологических процессов
Срок сдачи к 25 мая
Применение инструментов ИИ для генерации визуальной информации
Решение задач, Цифровой маркетинг и медиа
Срок сдачи к 18 мая
Написать курсовую по рекомендации в файле
Курсовая, Валютно-кредитные операции на мировом рынке
Срок сдачи к 20 мая
Применение инструментов ИИ для генерации текстовой информации
Решение задач, Цифровой маркетинг и медиа
Срок сдачи к 18 мая
Инструменты ИИ для аналитической деятельности
Решение задач, Цифровой маркетинг и медиа
Срок сдачи к 18 мая
Заполните форму и узнайте цену на индивидуальную работу!