это быстро и бесплатно
Оформите заказ сейчас и получите скидку 100 руб.!
ID (номер) заказа
757861
Ознакомительный фрагмент работы:
ЗАДАЧА 1 (9)
Определить собственные значения и собственные векторы матрицы третьего порядка.

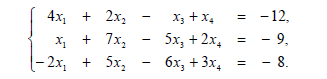
Задача 2 (1)
Доказать совместность системы и решить её тремя способами: по формулам Крамера, методом Гаусса и средствами матричного исчисления.

Задача 3 (16)
Исследовать и найти общее решение системы линейных однородных уравнений.

Задача 4 (9)
Составить уравнение плоскости Р, проходящей через точку А перпендикулярно вектору BC . Написать ее общее уравнение, а также нормальное уравнение плоскости и уравнение плоскости в отрезках. Составить уравнение плоскости 1 P , проходящей через точки А, В, С. Найти угол между плоскостями Р и 1 P . Найти расстояние от точки D до плоскости Р.


Задача 5 (1)
Прямая l задана в пространстве общими уравнениями. Написать её каноническое и параметрическое уравнения. Составить уравнение прямой, проходящей через точку М параллельно прямой l, и вычислить расстояние между ними. Найти точку пересечения прямой l и плоскости Р.

Задача 6 (16)
Даны координаты вершин треугольника АВС. Составить уравнения сторон треугольника. Составить уравнения медианы, высоты и биссектрисы угла А, найти их длины. Составить уравнения прямых, проходящих через вершины треугольника и параллельных его сторонам.


Задача 6 (9)
По координатам вершин пирамиды АВСD средствами векторной алгебры найти:
1) длины ребер АВ и АС;
2) угол между ребрами АВ и АС;
3) площадь грани АВС;
4) проекцию вектора AB на AC ;
5) объем пирамиды.


Задача 7 (1)
Построить графики функций.

1. 
Задача 8 (16)
Записать уравнения кривых в полярных координатах и построить их.


Задача 9 (9)
Вычислить пределы функций, не пользуясь средствами дифференциального исчисления.

Задача 10 (1)
Исследовать на непрерывность функции, найти точки разрыва и определить их тип. Построить схематические графики функций.

Сделайте индивидуальный заказ на нашем сервисе. Там эксперты помогают с учебой без посредников
Разместите задание – сайт бесплатно отправит его исполнителя, и они предложат цены.
Цены ниже, чем в агентствах и у конкурентов
Вы работаете с экспертами напрямую. Поэтому стоимость работ приятно вас удивит
Бесплатные доработки и консультации
Исполнитель внесет нужные правки в работу по вашему требованию без доплат. Корректировки в максимально короткие сроки
Гарантируем возврат
Если работа вас не устроит – мы вернем 100% суммы заказа
Техподдержка 7 дней в неделю
Наши менеджеры всегда на связи и оперативно решат любую проблему
Строгий отбор экспертов
К работе допускаются только проверенные специалисты с высшим образованием. Проверяем диплом на оценки «хорошо» и «отлично»
Работы выполняют эксперты в своём деле. Они ценят свою репутацию, поэтому результат выполненной работы гарантирован
Ежедневно эксперты готовы работать над 1000 заданиями. Контролируйте процесс написания работы в режиме онлайн
Изучение факторов, влияющих на формирование личности подростков.
Другое, Обществознание
Срок сдачи к 25 янв.
Опасность отмывания преступных доходов и зачем с ним нужно бороться?
Реферат, Международная система под/фт
Срок сдачи к 17 янв.
Отчет по практике содержание введение основная часть заключение
Отчет по практике, Физическая культура
Срок сдачи к 12 янв.
Экстрадиция для исполнения приговора.
Реферат, Международное сотрудничество в уголовном процессе
Срок сдачи к 12 янв.
Выполнить задания по дисциплине судебно экономические экспертизы. М-08118
Контрольная, Юриспруденция
Срок сдачи к 12 янв.
Индивидуальный проект на тему «Факторы влияющие на формирование...
Другое, Обществознание
Срок сдачи к 30 янв.
Необходимо решить ргр 1.2, 3.2, 4.2, 5.2
Решение задач, Электротехника и электроника
Срок сдачи к 8 февр.
Написать вкр на тему "«повышение уровня финансовой безопасности организации»
Диплом, Экономическая безопасность
Срок сдачи к 11 февр.
Дописать 6-8 страниц дипломной работы, а также повысить оригинальность на 10-15%. Срок очень ограничен (до 12 января 2026)
Диплом, Уголовное право (особенная часть)
Срок сдачи к 12 янв.
Решить задачу №2
Решение задач, Анализ финансово-хозяйственной деятельности (афхд)
Срок сдачи к 12 янв.
Заполните форму и узнайте цену на индивидуальную работу!